Lecture 10: International diversification
Why Invest Overseas?
- Security returns are much less correlated across countries than within a country.
- This is so because economic, political, institutional, and even psychological factors affecting security returns tend to vary across countries, resulting in low correlations among international securities.
- Business cycles are often highly asynchronous across countries.
Higher the correlation, the greater the core movement
Correlations across markets are likely to be imperfect (i.e. less than one)
two stocks in the Aus market
Different industries and industrial cycles, some countries in contractary phase whilst other are booming
Diversify to get benefits you would not normally get investing in one economy only
- Commodity prices,
Effects of exchange rates
- The realized dollar return for an Australian resident investing in a foreign market will depend not only on the return in the foreign market but also on the change in the exchange rate between the dollar and the foreign currency.
Receiving US dollars, converted into local currency
- Investment can be affected by exchange rate
Foreign Exchange Returns
An illustration with an American stock
- An Australian investor takes AUD1,000,000 on 1/1/2016 and invests in Microsoft (MSFT) which trades on the NASDAQ
- On 1/1/2016, the spot exchange rate was AUD 1.3765/USD
- The investor purchases 13,094 shares valued at $55.48 for a total investment of USD 726,460
- At the end of the 2022, the investor sells the shares at a price of $232.13 per share yielding AUD 4,753,339.59
- On 29/12/2022, the spot exchange rate was AUD 1.5638/USD
- The investor receives a 375% return on investment (AUD 4,753,339.59/AUD1,000,000) -1 = 375%
- On the day you liquidate US investment, USD appreciated
- converted US to AUD
- An illustration with Australian stock returns
- The total return reflects not only the appreciation in the USD stock price but also the change in the USD (appreciation in this case)
- The formula for the total return is
General Formula
- The total return of the foreign investment reflects not only the appreciation of the foreign asset, but also the appreciation (or depreciation) of the foreign currency relative to the home currency.
- The formula for the total return is:
Change in the movements plus the value of the underlying asset
Foreign Returns and risk
- Things in finance are extremely dynamic
- Have to take into account currency return, and risk as well
- Markets at large, US market, Aus, etc.
- i.e. index fund has moved over a period of time
- Same calculations on a market index, in regards to purchasing from a different market altogether
MSCI index
- Developed countries and developing countries, standard index
Return of MSCI australian index
- How has Aus dollar performed in US dollar terms
- Average returns over a long window - yearly return, 1995 onwards
- Monthly change, Aus dollar US dollar exchange rate
- Aus/US dollar return
This column, average Aus return in US was 9.15%
volatilities
- Use Standard deviation function in excel
- Annualise it, take the monthly multiply by square root 12
- Stdev of Aus returns in AUS is 13.59%
- calculate standard deviation of exchange rate over that period, Currency Return
Adding up volatilities
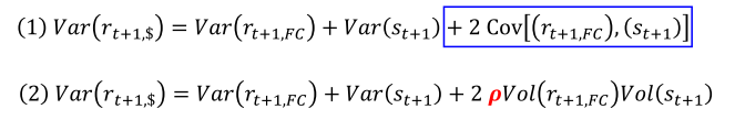
- As shown in the previous slide, the volatility of currency returns affects the volatility of USD return on a foreign equity (last column). But volatilities of FC market returns & currency returns are not additive. Why?
If correlation () = 1, the volatility of the dollar return is the sum of the foreign equity volatility and currency return volatility.
Key results of portfolio theory
- The extent to which risk is reduced by portfolio diversification depends on the correlation of assets in the portfolio.
- As the number of assets increases, portfolio variance becomes more dependent on the covariances (or correlations) and less dependent on variances.
- The risk of an asset when held in a large portfolio depends on its return covariance (or correlation) with other assets in the portfolio.
Measures of risks are not additive, have to take into account covariance
International Correlations & Risk Diversification
- As seen here, securities in different countries don’t move in sync.
- This means that if we diversify our investments, we can reduce our risk.
- Remember, as you invest in more stocks, you reduce your portfolio risk (i.e., getting rid of idiosyncratic risk).
- The takeaway? You can possibly get an even bigger “bang for your buck” by investing internationally…
Correlations tend to show much much markets move in sync with one another
- Percentage of common variation that can be attributed to each other
International Correlations
- Why do we expect return correlations across markets to be lower than within markets?
- different regulation, tax laws
- different industrial structure
- different cultures
- affected by different shocks
- affected differently by same shocks
- Merging markets are segmented against the rest of the world
- Mostly because of different regulations, tax laws, industries
Affected by different shocks
- Aus announces change in interest rates, will affect Aus economy but not the global economy
Correlations over time
- Dark green, correlation between developed markets
- Developed countries have become more correlated over time
- 2006-2010 correlations substantially higher - GFC
RHS - correlations between DM and EM
- Correlation between developed and emerging markets is much lower than between developed countries
Case for International Diversification
Adding one stock to two stock, take into account standard deviations and covariance
- thus line equilibrilises with incremental stock
- add more, left with systematic risk
Integrating with other Economies (international stocks)
- Risk reduction is even more dramatic
- about 15% of the risk of a typical security
Risk and Return
- We can form a portfolio of these stock portfolios rather than invest in only one country.
- Calculate the risk of an international portfolio
Recall:
Global diversification for a US Investor
How would US investors fare from investing globally?
- Compare Sharpe ratios for various strategies – local vs global.
- For full-sample: 0.40 – 0.33 = -0.07
- Can address currency risk via hedging. Does it improve performance?
Does Diversification work elsewhere
- Comparing Sharpe ratios for domestic versus global investment for 32 countries
- Compare Sharpe ratios for various strategies – local vs global.
- Bars below zero (8 countries) – better off investing in the domestic market. Mostly had high local returns combined with below average risk.
- Positive values – gains from global diversification.
- Across all countries, the SD of unhedged global portfolio below SD of domestic portfolio.
- Aus market account for 2% global market cap
- invest locally, forfeit global investments
Does practice match the theory?
Do investors appear to take advantage of optimal diversification?
- Research shows that there is a “Home bias” – the tendency to overweight domestic securities relative to what portfolio theory would suggest is optimal.
- 66% of portfolio in Aus has Aus stock
Why Home Bias in Portfolio Holdings
Some explanations come to mind:
- Domestic equities may provide a superior inflation hedge.
- Home bias may reflect institutional and legal restrictions on foreign investment.
- Extra taxes and transactions/information costs for foreign securities may give rise to home bias.
- Investors have a natural tendency to invest in the familiar and avoid the unknown.
- I know what Aus are investing in locally
- Want to hedge against Aus inflation
- Know Legal and accounting rules in Aus
International Investment Vehicles
- Direct Purchase of Foreign Shares
- Buy shares of non-Australian firms directly from the exchange they trade on. Trading platforms such as COMMSEC, Interactive Brokers, eToro etc. make this feasible.
- Cross-Listings and American Depository Receipts (ADRs)
- 260+ foreign firms are listed on ASX such as Xero Ltd, Block Inc
Invest in overseas stocks list in ASX
- Some measure of international diversification
Why List (or Cross-List) on Foreign Exchanges?
Reasons to List (i.e. a solo listing) or Cross-List
- Lowering of cost of capital
- Improve liquidity
- “Bond” to a better regulatory environment
- Broaden shareholder base
- Access to capital (obtain better valuations)
- Enables the use of stock to (a) compensate employees not in country of domicile; (b) pay for acquisitions
- Raise visibility of company
- Canva, Atlassian, etc.
- Australian market is relatively segmented
- Tech companies get better valuations than the rest of the world
- US fairly adebt at valuing and raising more money
- Buy other companies in a foreign market
- Branding, greater press coverage
Mutual funds that invest in foreign stocks can be grouped into several categories from an Australian perspective:
- Global - Investing in Australian and non-Australian shares.
- International - Investing in non-Australian shares only.
- Regional - Investing in a geographic area (e.g., Latin America; Asia).
- Country - Investing in a single country.
Stock Index Futures: These are futures contracts on stock indices. Cash settled as the underlying (stock index) does not exist physically
- Cash delivery avoids the transaction costs of buying and selling large number of stocks. Highly liquid and relatively inexpensive to get a similar position to that of a well-diversified portfolio.
- Speculate on/Hedge stocks with only a small cash investment. Invest in the entire market without bearing the risk of individual stocks.
- Speculate on/Hedge stocks with only a small cash investment.
- Foreign investors can reduce cash movements between countries and manage currency risk exposure better.
Fund types
- An open-end fund stands ready to issue and redeem shares at prices reflecting the net-asset-value of the underlying foreign shares.
- A listed-investment company (also known as closed-end fund) issues a fixed number of shares against an initial capital offering. The shares then trade in a secondary market at prices reflecting a premium or discount relative to the net- asset-value of the underlying foreign shares.